東工大ニュース
東工大ニュース
公開日:2019.03.04
東京工業大学 科学技術創成研究院 フロンティア材料研究所の東正樹教授、尾形昂洋大学院生、山本孟大学院生(現・東北大学助教)、科学技術創成研究院のJürgen Rödel(ユルゲン・ローデル)特任教授(ダルムシュタット工科大学教授)、神奈川県立産業技術総合研究所の酒井雄樹常勤研究員らの研究グループは、バナジン酸鉛(PbVO3)の一部をクロム(Cr)に置換して、電気分極[用語1]の大きさを制御することに成功した。またこの物質が応力によって結晶の方位が変化する強弾性[用語2]や温めると縮む負熱膨張[用語3]を示す事も確認した。新たな機能性物質の開発につながる成果だ。
同研究グループにはその他に、同大学のZhao Pan(ザオ・パン)博士研究員、西久保匠大学院生、ダルムシュタット工科大学のSatyanarayan Patel(サチャナラヤン・パテル)博士研究員、Peter Keil(ピーター・ケイル)大学院生、Jurij Koruza(ユーリ・コルツア)博士研究員、高輝度光科学研究センターの河口彰吾研究員が参加した。
この成果は、1月17日(米国時間)に米国化学会誌「Chemistry of Materials」のオンライン版に掲載された。

図1. 本研究成果をもとに作成されたデザインイラスト。
同図はChemistry of Materials誌(Volume 31, Issue 4 2019年2月26日発行) の中表紙を飾る「Supplementary Cover Art」に選出された。

図2. PbVO3の結晶構造。陽イオンであるPb2+、
V4+と陰イオンのO2-の重心が一致しないため、電気分極を有する。
陽イオンと陰イオンの重心が一致しない極性の結晶構造を持つ化合物は、強誘電性[用語4]や圧電性[用語5]など、有用な性質を示す事が期待されている。代表的な例は、チタン酸鉛で、正方晶ペロブスカイト[用語6]構造の、縦の長さが横の長さの1.06倍という、縦に伸びた構造歪みを持つ。このため、電気分極の値が57 μC/cm2と、多くの電荷を貯めることができ、強誘電性、圧電性を示すほか、昇温による強誘電体から常誘電体[用語7]への転移で、体積が収縮する負熱膨張を示す。負熱膨張物質は、光通信や半導体製造装置など、精密な位置決めが求められる分野で、構造材の熱膨張を補償(キャンセル)するのに使えると期待される物質である。
バナジン酸鉛は、チタン酸鉛と類似の結晶構造でありながら、縦横比(c/a比)が1.23と巨大な構造歪みを持ち、電気分極の大きさは101 μC/cm2に達することから、チタン酸鉛を凌ぐ性能を有すると期待されている。しかしながら、大きすぎる構造歪みが障害となって構造の変化が起こりにくく、電場によって電気分極が反転する強誘電性や、昇温による常誘電相への転移に伴う負熱膨張は確認されていなかった。
東教授らの研究グループは今回、バナジン酸鉛を構成するバナジウムについて、その一部クロムで置換する事で、 c/a比を1.07までの任意の値に低減することに成功した。
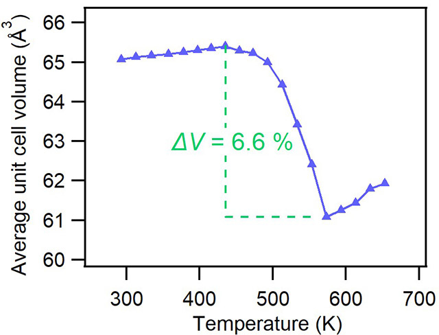
さらに、大型放射光施設SPring-8[用語8]のビームラインBL02B2での放射光X線回折実験[用語9]を組み合わせた精密構造解析を実施したところ、電気分極も53 μC/cm2にまで制御でき、また、応力によって構造歪みの方向を変えられ、強弾性が起こることを確認した。さらに、チタン酸鉛の1%を上回る、6.6%の体積収縮を伴った負熱膨張が起こる(つまり加熱で縮む)ことも確認した。

図3. 強弾性の概念図。応力によって分極方向の配向が変化する。

図4. PbV0.85Cr0.15O3の単位格子体積の温度変化。
450 Kから600 Kの間で6.6%の収縮が起こっている。
本成果では、極性のペロブスカイト化合物の結晶構造歪みを制御する手法を明らかにした。この手法を応用することで、バナジン酸鉛と同様の結晶構造を持ち、有害な鉛を含まないことから強誘電体、圧電体、負熱膨張材料の母物質の候補として注目される、コバルト酸ビスマス等の化合物の機能性材料化につながると期待される。
本研究の一部は、地方独立行政法人神奈川県立産業技術総合研究所・戦略的研究シーズ育成事業「革新的環境調和型機能性材料の創出」(代表・東正樹東京工業大学教授)、文部科学省・科学研究費助成事業・基盤研究A「ビスマス・鉛ペロブスカイトのs-d軌道間電荷分布変化解明と巨大負熱膨張への展開」(代表・東正樹東京工業大学教授)、特別推進研究「光と物質の一体的量子動力学が生み出す新しい光誘起協同現象物質開拓への挑戦」(代表・腰原伸也東京工業大学教授)の援助を受けて行った。
用語説明
[用語1] 電気分極 : 物質中で陽イオンと負イオンの重心がずれるため生じる電荷の偏り。コンデンサが電気を貯める能力の目安となる。
[用語2] 強弾性 : 応力の印加によって、結晶の分極方向が変化する性質。
[用語3] 負熱膨張 : 通常、物質は温めると体積や長さが増大する。これを正の熱膨張という。しかし、一部の物質は、温めることで可逆的に収縮する負熱膨張の性質を持っており、これはゼロ熱膨張材料を開発する上で重要となる。
[用語4] 強誘電性 : 誘電体(絶縁体)の一種で、外部電場がなくとも電気分極の方向が揃っており、外部電場によってその方向が変化する性質。
[用語5] 圧電性 : 応力をかけると物質の表面に電荷が現れ、電界を印加すると変形する性質。電気分極を持っているため、このような性質が表れる。
[用語6] 正方晶ペロブスカイト : ペロブスカイトは一般式ABO3で表される元素組成を持った金属酸化物の代表的な結晶構造だ。単位格子が立方体ではなく、一方向に伸びた直方体であるものを正方晶と呼ぶ。
[用語7] 常誘電体 : 電気分極を持たない誘電体(絶縁体)。
[用語8] 大型放射光施設SPring-8 : 兵庫県の播磨科学公園都市にある世界最高性能の放射光を生み出す理化学研究所の施設で、利用者支援等は高輝度光科学研究センター(JASRI)が行っている。SPring-8の名前はSuper Photon ring-8 GeV(ギガ電子ボルト)に由来する。放射光とは、電子を光とほぼ等しい速度まで加速し、電磁石によって進行方向を曲げた時に発生する、指向性が高く強力な電磁波のこと。SPring-8では、この放射光を用いて、ナノテクノロジーやバイオテクノロジー、産業利用まで幅広い研究が行われている。
[用語9] 放射光X線回折実験 : 物質の構造を調べる方法。放射光X線を試料に照射し、回折強度を調べることで結晶構造(原子の並び方や原子間の距離)を決定する。
論文情報
掲載誌 : |
Chemistry of Materials |
論文タイトル : |
Melting of dxy Orbital Ordering Accompanied by Suppression of Giant Tetragonal Distortion and Insulator-to-Metal Transition in Cr-Substituted PbVO3 |
著者 : |
Takahiro Ogata, Yuki Sakai, Hajime Yamamoto, Satyanarayan Patel, Peter Keil, Jurij Koruza, Shogo Kawaguchi, Zhao Pan, Takumi Nishikubo, Jürgen Rödel, and Masaki Azuma |
DOI : |
本研究全般に関するお問い合わせ先
東京工業大学 科学技術創成研究院 フロンティア材料研究所 教授
東正樹
E-mail : mazuma@msl.titech.ac.jp
Tel : 045-924-5315、080-4402-5315 / Fax : 045-924-5318
地方独立行政法人 神奈川県立産業技術総合研究所 戦略的研究シーズ育成事業 常勤研究員
酒井雄樹
E-mail : yukisakai@msl.titech.ac.jp
Tel : 045-924-5342 / Fax : 045-924-5318
東北大学 多元物質科学研究所 助教
山本孟
E-mail : hajime.yamamoto.a2@tohoku.ac.jp
Tel : 022-217-5355 / Fax : 022-217-5353
高輝度光科学研究センター 研究員
河口彰吾
E-mail : kawaguchi@spring8.or.jp
Tel : 0791-58-0802(内線3134) / Fax : 0791-58-0830
戦略的研究シーズ育成事業に関するお問い合わせ先
地方独立行政法人 神奈川県立産業技術総合研究所 研究開発部
E-mail : aoki@newkast.or.jp
Tel : 044-819-2034
SPring-8 / SACLAに関するお問い合わせ先
公益財団法人 高輝度光科学研究センター 利用推進部 普及情報課
E-mail : kouhou@spring8.or.jp
Tel : 0791-58-2785 / Fax : 0791-58-2786
取材申し込み先
東京工業大学 広報・社会連携本部 広報・地域連携部門
E-mail : media@jim.titech.ac.jp
Tel : 03-5734-2975 / Fax : 03-5734-3661
東北大学 多元物質科学研究所 広報情報室
E-mail : press.tagen@grp.tohoku.ac.jp
Tel : 022-217-5198 / Fax : 022-217-5835