東工大ニュース
東工大ニュース
公開日:2020.05.20
東京工業大学 元素戦略研究センターのWu Jiazhen(鄔 家臻)特任助教と細野秀雄栄誉教授らは磁性元素Mn2+を含むMnBi2Te4層と非磁性のBi2Te3層がファンデルワールス力で結合したヘテロ構造(MnBi2Te4) (Bi2Te3)n(nは整数)をもつ物質を発見し、その単結晶合成に成功したことを昨年11月に米科学誌Science Advancesに発表している。
本研究ではその単結晶を用いて、非磁性層の厚さ(n)を調節することで、(MnBi2Te4)(Bi2Te3)nにおける磁性制御を行った。磁気的特性は交流磁化率を測定し、磁気モーメント緩和挙動を通して評価した。n=2,3の場合、外部磁場に対する明確な磁化率の緩和が観測された。これは層間距離が短いn=0,1の時には見られない現象であり、非磁性層を増やすことで層間のスピンカップリングを減らし、今まで得ることができなかったバルクの2次元磁石が実現したことが示唆される結果である。本物質は、エピタキシャル成長による薄膜を必要とせず、簡便なフラックス法により単結晶が合成できるので、トポロジカル物性と2次元磁石を研究するためのプラットホームになるものと期待できる。
本成果は独の科学誌Advanced Materialsの速報として4月24日にオンライン公開された。
低次元磁石や磁気的基底状態[用語1]はL.Onsager(ラルス・オンサーガー)らによる初期の理論的研究以来、物性物理の課題の一つである。1次元物質では長距離秩序の形成は不可能である一方、2次元磁石は基礎的側面だけでなく、デジタルデータメモリや量子コンピューティングなど応用面でも関心を集めている。しかし、単原子層を有する2次元磁石は実験的に実現が難しく、今までCrI3(三ヨウ化クロム)やFe3GeTe2(Ferromagnetic metal/強磁性金属)のような2次元ファンデルワールス結晶をはく離することでしか得られなかった。
以上の観点から、磁性層と非磁性層の2次元磁気的ヘテロ構造[用語2]を自然に有する物質は理想的な2次元磁石が得られる舞台として着目されている。また、トンネル磁気抵抗や量子異常ホール効果[用語3]のようなエキゾチックな物性を示す舞台になることが期待されている。
Wu Jiazhen特任助教、細野栄誉教授らは(MnBi2Te4)(Bi2Te3)nという磁性層MnBi2Te4と非磁性層Bi2Te3が交互に積層された化合物が存在することを見出し、その単結晶の合成に成功していた。
バルクのMnBi2Te4(n=0)とMnBi4Te7(n=1)は反強磁性のトポロジカル絶縁体[用語4]であり、これらの層間の距離をBi2Te3層の数nの値を変えることで図1のように制御できれば磁性層間の磁気的相互作用を系統的に調べることができる。
このようなヘテロ構造は薄膜エピタキシャル法で交互に積層する方法で作製するのが一般的だが、歪みや欠陥が入りやすいという問題があった。バルクの単結晶が熱的に合成できれば、より理想的なヘテロ接合になり得る。

図1. トポロジカル絶縁体(MnBi2Te4)(Bi2Te3)nの磁気構造の発展
単結晶はフラックス法[用語5]で合成された。明確なファンデルワールスギャップによって分離されたヘテロ構造の形成が形成されていることは図2の原子分解能STEM(走査型透過電子顕微鏡)像から明らかである。単結晶の育成温度域は非常に狭いが、磁気的ヘテロ構造が熱力学的に安定化し、単結晶として合成することができた。
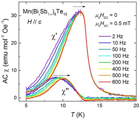
理論計算と実験的観察からn=2以上で層間磁性のデカッブリングが始まることが示された。デカッブリングは交流磁化測定によって調べた。図3に示すように10 K以下ではゆっくりした磁気緩和が明確に観察された。この緩和は層間のスピンの回転や層内のドメイン壁の運動によるものと考えられ、層間の磁気的カップリングが十分に弱くなる時のみ生じる。これらの結果から図4に示す磁気相図を明らかにできた。

図2. 高分解能電子顕微鏡像(HAADF-STEM像)
A:Bi2Te3、B:MnBi2Te4、C:MnBi4Te7、D: MnBi6Te10
QL:5原子層からなるBi2Te3、SL:7原子層からなるMnBi2Te4

図3. Mn(BixSb1-x)6Te10単結晶の交流磁化率
X’とX’’における緩和が13 K以下の温度領域でみられる。

図4. (MnBi2Te4)(Bi2Te3)nでの磁気相図
本物質はバルクの2次元磁性の研究に適したプラットホームを提供する。また、(MnBi2Te4)m(Bi2Te3)nはトポロジカル絶縁体でもあるため、2次元磁性とトポロジカル表面状態が協奏するエキゾチックな物性の発現が期待される。
本成果は科学研究費補助金(No. 17H06153)、文部科学省元素戦略プロジェクト「拠点形成型」(No.JPMXP0112101001)の支援を受けたものである。
論文情報
掲載誌 : |
Science Advances |
論文タイトル : |
Natural van der Waals Heterostructural Single Crystals with both Magnetic and Topological Properties(磁性とトポロジカル性をあわせもつ自然ファンデルワールスヘテロ構造の単結晶) |
著者 : |
Jiazhen Wu, Fucai Liu, Masato Sasase, Koichiro Ienaga, Yukiko Obata, Ryu Yukawa, Koji Horiba, Hiroshi Kumigashira, Satoshi Okuma, Takeshi Inoshita, Hideo Hosono |
DOI : |
掲載誌 : |
Advance Materials |
論文タイトル : |
Toward 2D magnets in the (MnBi2Te4)(Bi2Te3)n Bulk Crystal((MnBi2Te4)(Bi2Te3)nバルク結晶における2次元磁石にむけて) |
著者 : |
Jiazhen Wu, Fucai Liu, Can Liu, Yong Wang, Changcun Li, Yangfan Lu, Satoru Matsuishi, and Hideo Hosono |
DOI : |
用語説明
[用語1] 磁気的基底状態 : 磁性体が持つ最も安定な磁気構造のこと。
[用語2] ヘテロ構造 : 組成元素が異なる固体を接合することをヘテロ接合といい、この接合体からなる構造。
[用語3] 量子異常ホール効果 : 電子が磁場中を動くときローレンツ力によってその動きが曲げられる(ホール効果)。異常ホール効果では外部磁場の代わりに強磁性体のスピンモーメントによって生じる同様の効果を生じる。量子異常ホール効果ではホール抵抗値が量子化抵抗値によって関連付けられる。
[用語4] トポロジカル絶縁体 : 物質の内部(バルク)は絶縁体で、エッジ(端)や表面では金属状態になっている物質。エッジで電流を担っている電子のスピンは片方だけになっている。
[用語5] フラックス法 : SnやTeなどの融点の低い物質の融体(フラックス)中に適当な元素を入れ、再結晶によって高品質な単結晶を育成する合成技術。
お問い合わせ先
研究に関すること
東京工業大学 元素戦略研究センター長 細野秀雄
E-mail : hosono@mces.titech.ac.jp
Tel : 045-924-5009
取材申し込み先
東京工業大学 総務部 広報・社会連携課
E-mail : media@jim.titech.ac.jp
Tel : 03-5734-2975 / Fax : 03-5734-3661