東工大ニュース
東工大ニュース
公開日:2020.11.19
東京工業大学 物質理工学院 応用化学系の清水亮太准教授、小林成大学院生(博士課程2年)と一杉太郎教授らは、産業技術総合研究所の安藤康伸主任研究員らと共同で、機械学習[用語1]と定常動作を繰り返す機械を融合した自律的な物質探索ロボットシステム[用語2]の開発に成功した。
化学や素材、自動車、エレクトロニクス産業などにおいて、新物質・材料研究スピードの向上が急務である。また、現在のコロナ禍を契機に、遠隔操作により実験を進める重要性がますます高まっている。本研究成果は研究スピード向上と遠隔操作を実現するものであり、「研究開発の進め方を改革する」ことが狙いである。
従来の物質研究では、目的とする物質を1つずつ丁寧に作製し、合成条件の最適化も人間が行っており、研究スピードには限界があった。そこで、本研究では機械学習と定常動作を繰り返す機械を応用した。具体的には、合成条件最適化を行う機械学習と、物質合成と電気抵抗評価を全自動で行う機械を統合し、全自動かつ自律的に薄膜合成を行う物質探索ロボットシステムを開発した。これにより、人間が介在することなく、自律的に二酸化チタン薄膜の電気抵抗を最小化することに成功した。本研究は無機固体物質用として世界で初めてのシステムである。
以上により研究スピードを格段に向上させるとともに、研究者は単純作業の繰り返しから解放され、より創造的な研究活動に従事することが可能になる。そして、合成条件とさまざまな物性値をセットとした物質ビッグデータを活用することにより、研究の進め方に変革をもたらし、わが国の産業競争力向上に貢献することが期待される。
研究成果は11月18日(現地時間)に米国物理学協会誌「APL Materials(APLマテリアルズ)」にPerspective(パースペクティブ=独自の新しい見解)としてオンライン掲載された。
我が国は少子高齢化が進み、研究者不足が危惧されている。また、働き方改革により、短時間で最大の研究成果を出すことが強く求められている。さらに、コロナ禍の中では、遠隔でも操作可能な研究体制の構築も急務となっている。このような背景から、「研究開発の進め方を変革する」ことが喫緊の課題となっている。
物質の研究開発において最大の成果を得るためには、多数の条件を最適化する必要がある。たとえば、薄膜の場合、新物質を開発する際には組成、温度、ガス雰囲気、合成速度などの複数のパラメーターを精密に制御して狙いの物質を合成している。現在の物質開発においては、合成装置の精緻化、部材の複合化が進み、探索すべき合成条件の範囲が急拡大している。つまり、多次元の探索空間内で最適条件を探さねばならない。従来はこの合成条件の最適化を研究者・技術者自身が行ってきたが、拡大する探索空間には対応できなくなっている。
そこで、発展が著しい機械学習を組み込んだロボットシステムを活用し、広い探索空間においても効率的に物質探索することが期待される。そして、単純繰り返し作業を機械に任せ、研究者は付加価値の高い「創造的な仕事」に取り組み、物質・材料の研究開発を加速させることが期待される。このような研究スタイルは、液体を用いるバイオ系や有機合成化学ではすでに報告例が増えてきている。しかし、固体物質では原料や実験器具のハンドリングが難しく、いまだ報告例が無いのが現状だった。以上より、ロボットシステムを活用した、新たな固体物質研究スタイルの構築が急がれている。
本研究では、無機固体物質において世界で初めてとなる、全自動で自律的に物質探索を行うシステム(自律物質探索ロボットシステム)を開発した(図1)。本ロボットシステムの利用により、人間が介在することなく最適な物性値を有する薄膜を作製することができる。このように自律的に研究が進むことをClosed loop[用語3]と呼ぶ。具体的な構成は以下の通り(図2)。
定常動作を繰り返す機械
半導体産業で広く用いられている全自動試料搬送アームと、複数の合成条件(基板温度、ガス分圧、投入電力、原料組成など)で薄膜を作製する成膜装置(スパッター成膜法[用語4])、電気抵抗を自動測定する評価装置からなる。

図1. 本研究で開発した自律的な物質探索ロボットシステム。中央に自動搬送アームが搭載され、自動薄膜合成装置や自動物性評価装置などの各種装置間での試料の受け渡しが可能である。
機械学習アルゴリズム
機械学習の一種であるベイズ最適化[用語5]を用い、過去に行った実験で得た「薄膜合成条件と電気抵抗値のデータセット」から、次に最適と思われる薄膜合成条件を予測し、繰り返し動作する機械に合成を指示する。

図2. (a)本ロボットシステムの構成図。成膜、電気抵抗測定装置が自動試料搬送アームを介して接続されている。試料搬送・成膜・評価の各ステップとベイズ最適化による条件指示を、コンピューターが管理している。(b)本システムを利用した材料合成の概念図。例えば、Liイオン伝導度の最小化を達成目標として、ベイズ最適化による合成条件の指示・材料合成・伝導度評価を行い、その結果を加えたデータセットから新たな合成条件の指示、という一連のサイクルを全自動かつ自律的に(Closed loopで)行うことが可能である。本原著論文の補助資料より、動作のアニメーションを見ることができる。
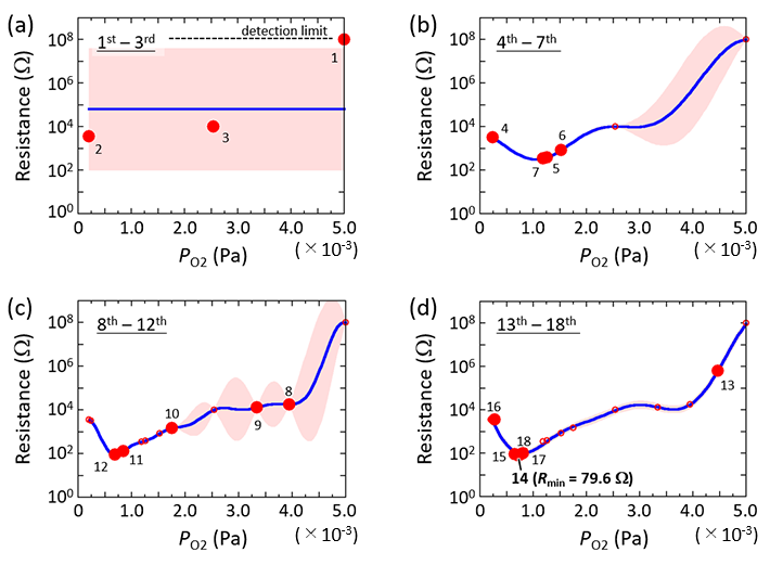
本ロボットシステムを利用して二酸化チタン薄膜[用語6]の電気抵抗最小化を行った。スパッター成膜において、Ar(アルゴン)ガスとO2(酸素)ガスの混合比を調整して薄膜内の酸素含有量を最適化した結果を図3に示す。14回目で最小の抵抗値である79.4 Ωの薄膜を得た。特に15回以降では、機械学習アルゴリズムが類似の酸素分圧を指示するようになっており、収束していると判断できる。

図3. 本ロボットシステムを利用した二酸化チタンの電気抵抗最小化の例。赤点は実際の実験により得られたデータであり、付記された数値は実験が行われた順序を示す。青線とピンクの領域は、ベイズ最適化によって予測された曲線と標準偏差であり、(a): 3回実験後、(b): 7回実験後、(c): 12回実験後、(d): 18回実験後を示す。本原著論文の補助資料より、アニメーションを見ることができる。
本システムを利用すると、24時間で12回の成膜を安定的に行うことが可能となり、最適化を2日以内(24回程度の成膜)で完了できた。人間が24回成膜する場合、平均して1日に2回しか成膜できず、12日間を要する。休日や休息、ミーティングなどを考慮すると、さらに8日間程度が必要と想定され、合計で20日程度を要する。したがって、本システムにより、従来の10倍程度の実験効率が達成できた。
本システムの利用は多次元空間内の最適化においてさらに重要となる。今回は酸素分圧のみとする一次元での最適化だが、スパッター成膜では成膜温度、スパッター圧力、ガス流量とその比率、ターゲット原料の化学組成、ターゲットへの投入電力など多数のパラメーターが存在する。そのような多次元の条件最適化には、より多くの試行回数が必要となるだけでなく、もはや人間には的確な最適条件の推定ができなくなることは確実である。それに対し、ロボットシステムによる単純作業の高速化と多次元での最適化は大きな強みとなり、次元数が増大すればするほど、本システムの有用性が増大する。
上記の構想の概要は東京工業大学のYouTubeチャンネル
「まだ見ぬ災厄に向け、研究の進め方に変革を」で紹介されており、さらに、「AI、ロボット、研究者が協働するデジタルラボラトリ
」
にて、詳細な説明や実験システム動作のアニメーションを視聴することができる。
本研究は物質合成をスピードアップし、かつ、研究者が創造性を発揮できるための実験室変革に向けた第一歩となるものである。今後、薄膜だけではなく、様々な物質合成手法に今回の研究の進め方を展開していく。この変革において重要な点は、実験室全体を一つの大きなシステムととらえることである。スタンドアローンの実験装置を並列化して統制し、本研究で示したように、各実験装置が協調して稼働することで、最大の成果を生み出すシステムが構築できる。さらに、このシステム化された実験室から生成される大量のデータ(ビッグデータ[用語7])を最大限活用し、マテリアルズインフォマティクス[用語8]と組み合わせつつ、新しい科学原理の発見や、新現象の予測が加速する。
今回の研究における方向性は、文部科学省、経済産業省が「マテリアル革新力強化に向けた準備会合」において議論を進めている「マテリアルDXプラットフォーム[用語9]」の方向性と合致するものです。世界の動きは速く、早急に研究開発の進め方を変革することが重要です。
さらに、本研究は人材育成と密に関わっています。化学や物質・材料を深く理解しつつ、情報科学やロボット技術に精通した人材育成が急務です。東京工業大学では文部科学省の卓越大学院プログラムのもと、物質・情報卓越教育院[用語10]を2019年に立ち上げ、24の企業とともに協同教育を進めています。
ここで提案する研究開発の進め方では、研究者は実験における単純作業の繰り返しから解放され、創造的な仕事に取り組む時間を増やすことができるでしょう。また、ビッグデータを解析することにより、新たな「気づき」「ひらめき」を得ることができるでしょう。研究者が創造性を最大限に発揮し、ワクワクしながら研究に取り組む。その背中を見て、若い方々が研究の楽しさに気づく。そして、多くの若者が夢を持って科学探究や技術開発に取り組み、より良い社会にしていく。これが本研究の真の狙いです。
謝辞
本成果は科学技術振興機構(JST)戦略的創造研究推進事業(CREST、さきがけ)および未来社会創造事業(共通基盤領域)、日本学術振興会(JSPS)科研費の支援を受けて行った。
用語説明
[用語1] 機械学習 : コンピューターが特定の課題に対する効率的な予測・分類を行うために使用するアルゴリズムや統計モデルの総称。事前に与えられたデータを「例題(=教師からの助言)」とし、それをガイドに学習する「教師あり学習」を用いて予測や分類を行っている。
[用語2] 自律的な物質探索ロボットシステム : コンピューターが自ら合成条件の良し悪しを判断して目的物質の合成と物性値評価が可能なシステムのこと。研究者があらかじめ入力した条件に従って合成を行う実験装置はこれまでにも存在したが、本ロボットシステムではコンピューターが次の合成条件を判断し、指示を行う。条件判断・合成・物性値評価のサイクルが全て自動化されており、研究者の介在を一切必要としない点が特長である。
[用語3] Closed loop : 元々は制御工学の概念で、出力の一部を入力側に帰還(フィードバック)させて制御する仕組みのこと。ここでは、合成結果(抵抗値)を最新の出力データとして新たな最適値を予測し、次の合成条件をロボットに指示(入力)して再度合成をする様子を指す。
[用語4] スパッター成膜法 : 高エネルギーのArガスを原料物質にぶつけて原料を飛散させ、基板に物質を堆積させる方法である。大面積に低コストで薄膜堆積が可能であり、産業界でも頻繁に利用されている。
[用語5] ベイズ最適化 : 詳細な形状がわからない関数(ブラックボックス関数)の最大値(または最小値)を求めるための機械学習の手法の1つ。ガウス過程回帰と呼ばれる手法を用いて求めたい関数の事前確率分布を仮定し、既知のデータセットから事後確率分布を最適化する。この中で、既にある程度良いとわかっている事前データの利用(活用)と、未知の領域への挑戦による異なる経験(探索)をバランスよく行うことにより、局所解に陥ることなく最適値を探索可能である。
[用語6] 二酸化チタン薄膜 : チタン(Ti)と酸素の化合物であり、天然にはルチル型、アナターゼ型、ブルッカイト型が存在する。特にアナターゼ型では、ニオブ(Nb)を微量混ぜこむと、透明かつ良好な電気伝導性を示す「透明導電体」になることが知られている。
[用語7] ビッグデータ : インターネットの普及やコンピューターの処理速度向上などに伴い生成される、大容量のデジタルデータのこと。データの蓄積・解析手法を工夫することにより、高速かつ簡便な解析技術を用いて新たなパターンや関係性をリアルタイムに発見できる。物質・材料(マテリアル)に関するビッグデータの生成が望まれている。
[用語8] マテリアルズインフォマティクス : 過去の物質・材料(マテリアル)に関する実験・シミュレーション結果のデータベースを、情報科学(インフォマティクス)の手法を用いて解析し、効率的かつスピーディーに有用な新マテリアルの探索を行う取り組みの総称。探索する対象は、マテリアルの組成や結晶・分子構造、合成方法など多岐にわたる。
[用語9] マテリアルDXプラットフォーム : 文部科学省と経済産業省が、マテリアル革新力強化のための政府全体の戦略策定に向けた基本的な考え方や今後の取組の方向性などを示した(2020年6月2日)。その中で、データを基軸とした研究開発のプラットフォーム(マテリアルDXプラットフォーム)を通じて、データの創出・活用、人材の育成、研究開発成果の普及・展開に係る施策が提案されている。
[用語10] 物質・情報卓越教育院 : 東京工業大学において、物質科学、材料科学に精通しつつ、情報科学を駆使して複眼的・俯瞰的視点から研究開発を進める人材を育成するプログラム。24社の企業や物質・材料研究機構、産業技術総合研究所とともに教育プログラムを推進している。現在、会員企業を募集中である。
論文情報
掲載誌 : |
APL Materials |
論文タイトル : |
Autonomous materials synthesis by machine learning and robotics |
著者 : |
Ryota Shimizu, Shigeru Kobayashi, Yuki Watanabe, Yasunobu Ando, and Taro Hitosugi |
DOI : |
お問い合わせ先
東京工業大学 物質理工学院 応用化学系
准教授 清水亮太
E-mail : shimizu.r.af@m.titech.ac.jp
Tel : 03-5734-3935
東京工業大学 物質理工学院 応用化学系
教授 一杉太郎
E-mail : hitosugi.t.aa@m.titech.ac.jp
Tel : 03-5734-2636
産業技術総合研究所 機能材料コンピュテーショナルデザイン研究センター 材料インフォマティクスチーム
主任研究員 安藤康伸
E-mail : yasunobu.ando@aist.go.jp
Tel : 029-861-5379
JST事業に関すること
科学技術振興機構 戦略研究推進部 ICTグループ
舘澤博子
Email : presto@jst.go.jp
Tel : 03-3512-3526 / Fax : 03-3222-2066
取材申し込み先
東京工業大学 総務部 広報課
Email : media@jim.titech.ac.jp
Tel : 03-5734-2975 / Fax : 03-5734-3661
科学技術振興機構 広報課
E-mail : jstkoho@jst.go.jp
Tel : 03-5214-8404 / Fax : 03-5214-8432
産業技術総合研究所 広報部 報道室
E-mail : hodo-ml@aist.go.jp
Tel : 029-862-6216 / Fax : 029-862-6212