東工大ニュース
東工大ニュース
公開日:2021.12.10
東京工業大学 元素戦略研究センターの金正煥(Junghwan Kim、キム・ジョンファン)助教、細野秀雄栄誉教授らは、性能の高さと実用レベルの安定性を両立させたアモルファス酸化物薄膜トランジスタ(TFT)の開発に成功した。
2004年に東京工業大学の研究チームが発表した、高い移動度をもつアモルファス酸化物半導体InGaZnO(IGZO)の薄膜トランジスタ(TFT)は、既に有機ELテレビや高精細液晶ディスプレイなどで実用化されている。一方で近年では、次世代ディスプレイやメモリー向けに、低温ポリシリコン(LTPS)TFTに匹敵する高い移動度をもつ酸化物TFTが求められている。しかし、高い移動度が得られる酸化物TFTでは、長時間の使用により深刻な不安定性が生じてしまうことが大きな技術的障害になっていた。
今回の研究ではそうした「移動度-安定性トレードオフ現象」のメカニズムの解明に成功した。それに基づいて作製プロセスを工夫した結果、LTPS-TFTに匹敵する高い移動度と、実用レベルの安定性を両立した酸化物TFTを実現した。特に長年の謎であった「移動度-安定性トレードオフ現象」が解明されたことで、アモルファス酸化物TFTの実用化に向けて大きく前進することが期待される。
本研究成果は英国科学誌「Nature Electronics」に2021年11月22日付で公開された。
薄膜トランジスタ(TFT)は、ゲート電極が2つの電極と絶縁体薄膜を介して半導体薄膜に電圧をかける構造の素子である。ゲート電極に小さな電圧をかけることで、2つの電極に間に流れる電流を大幅に変化させられるため、電子回路でスイッチの役割を担う基幹デバイスになっている。2004年に報告されたアモルファス酸化物InGaZnO(IGZO)TFTは、アモルファスシリコン(a-Si)のTFTよりも移動度が10倍以上高く(10~15 cm2/Vs)、かつ汎用のスパッターリングによって低温で容易に作製できるという優位性をもつ[参考文献1]。そのため、ディスプレイへの応用が世界中で行われ、2012年には液晶ディスプレイへの搭載が開始された。2015年からは有機ELディスプレイの駆動にも使われて、現在に至っている。
一方で近年では、次世代ディスプレイやメモリー応用などに向けて、より高い移動度が要求されるようになった。しかし酸化物TFTには「移動度-安定性トレードオフ現象」という長年の未解決問題があることが技術的障害になっている。この現象は、高い移動度を示す化学組成(インジウムやスズが主成分)の酸化物TFTでは、繰り返して使用していると、スイッチとして働く電圧(閾値)が大幅に動いてしまうという不安定性(閾値シフト)がみられるというものである。TFTの閾値シフトが起こると、同一の電圧下で得られる電流の値が変わるため、有機ELディスプレイでは輝度のばらつきが生じてしまう。そのため、いくら高い移動度を示すTFTがあっても、閾値シフトがある限り実用化は不可能である。閾値シフトには大きく分けて、Negative Bias Temperature Stress(NBTS)[用語1]、Positive Bias Temperature Stress(PBTS)[用語2]、Negative Bias Illumination Stress(NBIS)[用語3]の3種類が知られている。このような閾値シフトは、酸化物TFTの移動度を10 cm2/Vs程度に制限する主な原因となっている。
トランジスタにおける閾値シフトは、1960年代からのMOSFET[用語4]の研究で本格的に調べられた結果、ゲート絶縁膜の電荷トラップに起因することがわかっており、酸化物TFTでも同様に考えられてきた。しかし研究グループでは、そうした考え方では「移動度-安定性トレードオフ現象」を説明する上で矛盾が生じることに気づき、根本的な原因究明に取り組んできた。TFTの閾値は半導体層のキャリア濃度によって決まるため、半導体層のキャリア濃度が初期状態から変動するならば、これも閾値シフトの説明になる。しかし、初期のドーピング濃度で決まるキャリア濃度が後から変動することは一般的には起こりえない現象であり、このような例外的主張は実験的証拠がない限り受け入れられない。さらに、実験で観測されるものはTFTに印加される電圧と電流の関係であり、これだけでは閾値シフトがゲート絶縁膜の電荷トラップと半導体層のキャリア濃度変化のどちらに起因するのかを見極めることは困難だった。
本研究では最初に、「移動度-安定性トレードオフ現象」のメカニズムを明確にするための新たな手法を開発した。具体的には、NBTSに対して安定な材料(InGaO、IGO)とNBTSに対して不安定な材料(InSnZnO、ITZO)の二層からなるTFT(図1(ア))を作製し、その電気的特性を調べた。この二層構造TFTの電界効果移動度を解析することで、動作中のTFTの電流がどちらの層に起因しているかを明らかにし、さらにその層の閾値シフト量を評価することが可能になる。解析では、ゲート絶縁膜に電荷がトラップされている場合と、キャリア濃度を変動させた場合について、それぞれの層がどのような挙動を示すかを調べるため、デバイスシミュレーション(Silvaco社 ATLAS)を行った。
その結果、ゲート絶縁膜に電荷トラップがある場合には、電界効果移動度曲線の全体的な平行移動がみられた(図1(ウ))。一方で、不安定な材料であるITZO層のキャリア濃度を変化させた場合、電界効果移動度が最高値に達した後の曲線には変動がみられず、固定されていることがわかった(図1(エ))。移動度が最高値に達した後に再び減少しているのは、移動度が比較的小さいIGO層の寄与が大きくなるためであり、右下がりの曲線が固定されていることは、IGO層の閾値が変動しないことを示唆する。これはゲート絶縁膜に電荷トラップがないことを裏付ける結果でもある。実際に得られた実験結果(図1(イ))にも同様の傾向があり、ITZOのような高移動度酸化物TFTでみられる閾値シフト(NBTS)現象は、ITZO層のキャリア濃度の上昇に起因すると結論できる。

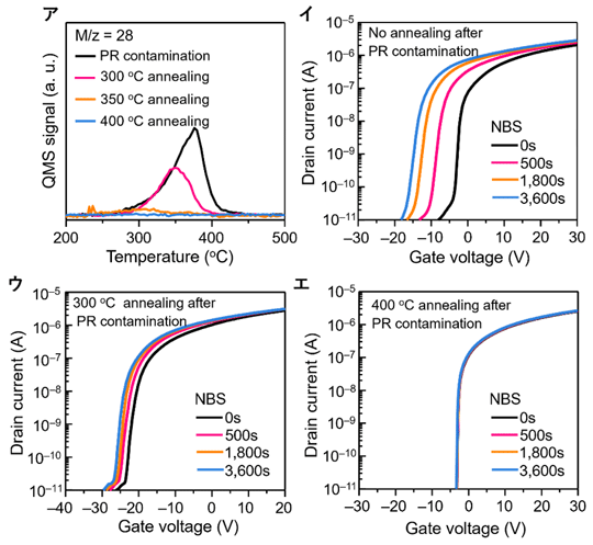
次に研究グループは、こうした閾値シフト(NBTS)によって酸化物層のキャリア濃度がどのように上昇するかを調べた。その結果、フォトリソグラフィプロセス[用語5]の後に、酸化物半導体層には電気的に無視できない濃度のカーボン系の不純物(CO)が残っており、閾値シフト量はこのカーボン不純物の量に比例して大きくなることがわかった[参考文献2]。フォトリソグラフィ直後と熱処理でカーボン不純物量を調整後のITZO薄膜に対して熱脱離分析をおこなうと、CO不純物を完全に除去するには約350℃以上の熱処理が必要であることがわかる(図2(ア))。また、CO不純物量とNBTS不安定性の間には明らかな相関がみられる(図2(イ-エ))。さらに、CO不純物が完全に除去された試料は非常に高い閾値安定性を示す(図2(エ))。

さらに、このCO不純物の生成と不安定性の発生が化学組成に依存するかを確認した(図3)。熱脱離分析の結果、CO不純物は化学組成に依存せずに、フォトリソグラフィ後にはどの酸化物でもほぼ同量が形成されるが(図3(ア))、不安定性はITZO TFTのみ顕著に現れることがわかった(図3(イ)(ウ))。この結果は「移動度-安定性トレードオフ現象」そのものであり、これまで経験的に知られていた、高移動度酸化物TFTの不安定性を裏付けたことになる。

酸化物TFTの不安定性問題について、実験で得られた結果をまとめると以下のようになる。
こうした結果を説明する上では、「電子供与」が重要だと考えられる。酸化物半導体側では、伝導体下端の位置が下がるほど電子が受け取りやすくなる。アモルファス酸化物半導体では、インジウム(In)、スズ(Sn)の含有量を増やすほど高い移動度が得られる(図4(ア))。また、Inや Snの含有量が増えると、カチオン同士の空間的重なり合いが大きくなり、これによって伝導帯におけるバンド分散が増大して、伝導体下端の位置が深くなる(図4(ウ))。つまり、移動度が高い酸化物半導体ほど、伝導体下端の位置が深く、電子を受け取りやすいことになる。こうした説明によって、同量のCO不純物があっても、IGZOより伝導体下端の位置が深いITZOでは、顕著な閾値シフトが生じてしまう原因が理解できる。

本研究の知見を基に作製法を最適化したところ、移動度が高く、かつ安定性に優れたITZO TFTが得られた。このTFTでは、移動度70 cm2/Vsを達成し、さらに実用化にあたって必須とされるNBTS、PBTS、NBISのすべての動作条件において、非常に優れた安定性が実現している(図5)。

本研究では、酸化物TFTにおける移動度と安定性の両立に向けた明確な指針が確立することができた。今回の成果では、フォトレジスト由来のCO不純物による電子供与性を議論したが、実際の量産環境ではさらに多くのCO関連不純物が混入する可能性があると考えられる。このような観点から、酸化物半導体を用いた次世代エレクトロニクスの実現には、より活発な産学連携が必須になるだろう。
研究グループは今回、低温ポリシリコン(LTPS)のTFTに匹敵する移動度と安定性をもつアモルファス酸化物半導体のTFTを実現するという、20年来の念願をようやく果たすことができた。アモルファス酸化物半導体はLTPSに比べると、アモルファスの性質から、均質で大面積の薄膜が低温で容易に作製でき、レーザー照射による結晶化処理も不要という大きなメリットがある。これまで高移動度と高安定性が両立できなかったため、論理回路などLTPSが使われている応用には展開できなかった。アモルファス酸化物半導体であるIGZOは、アモルファスシリコンのTFTを置き換えつつあるが、今回の成果によってLTPS-TFTを置き換えられる可能性が出てきた。
付記
本成果は、以下の事業・研究課題によって得られた。
文部科学省 元素戦略プロジェクト<拠点形成型>
研究課題名:「東工大元素戦略拠点」
代表研究者:東京工業大学 元素戦略研究センター センター長 細野秀雄
PM:元素戦略研究センター 雲見日出也 特任教授
研究実施場所:東京工業大学
研究開発期間:平成25年7月~令和4年3月
用語説明
[用語1] Negative Bias Temperature Stress(NBTS) : ゲートに負バイアスを印加し続けたときに閾値が負の方向にシフトする現象(温度は60℃固定)。
[用語2] Positive Bias Temperature Stress(PBTS) : ゲートに正バイアスを印加し続けたときに閾値が正の方向にシフトする現象(温度は60℃固定)。
[用語3] Negative Bias Illumination Stress(NBIS) : 半導体層に光を照射、ゲートに負バイアスを印加し続けたときに閾値が負の方向にシフトする現象。
[用語4] MOSFET : Metal-Oxide-Semiconductor Field Effect Transistor の略。現在、DRAMやCMOSイメージセンサーなどに使われている単結晶シリコンベースの素子。動作原理は薄膜トランジスタ(TFT)と基本的に同じである。
[用語5] フォトリソグラフィプロセス : 感光性の物質を塗布した物質の表面を、パターン状に露光することで、露光された部分と露光されていない部分からなる微細パターンを生成する技術。本研究でみられるCO不純物は、感光性の物質であるフォトレジストから生成されることがわかった。
論文情報
掲載誌 : |
Nature Electronics |
論文タイトル : |
Mobility–Stability Trade-Off in Oxide Thin-Film Transistors |
著者 : |
Y. Shiah, K. Sim, Y. Shi, K. Abe, S. Ueda, M. Sasase, J. Kim*, H. Hosono* (安部氏の所属はSilvaco Japan、上田氏の所属は物質・材料研究機構(NIMS)、他は東工大) |
DOI : |
お問い合わせ先
東京工業大学 元素戦略研究センター
助教 金正煥(Junghwan Kim、キム・ジョンファン)
E-mail : JH.KIM@mces.titech.ac.jp
Tel : 045-924-5197
東京工業大学 元素戦略研究センター
栄誉教授 細野秀雄
E-mail : hosono@mces.titech.ac.jp
Tel : 045-924-5009
取材申し込み先
東京工業大学 総務部 広報課
E-mail : media@jim.titech.ac.jp
Tel : 03-5734-2975 / Fax : 03-5734-3661