東工大ニュース
東工大ニュース
公開日:2023.09.21
東京工業大学 科学技術創成研究院 フロンティア材料研究所/大阪大学 接合科学研究所の伊澤誠一郎准教授(科学技術振興機構(JST)さきがけ研究者兼務)、富山大学の森本勝大准教授、静岡大学の藤本圭佑助教らの研究グループは、乾電池(1.5 V)1本をつなぐだけで光る、世界最小電圧で発光する青色有機ELの開発に成功した。
有機ELはテレビやスマートフォンディスプレイなどで実用化されている一方で、駆動電圧が高く消費電力が大きいという問題を抱える。特に赤、緑、青の光の三原色の中で最もエネルギーが大きな青色の発光を得るのが一番難しく、通常は4 V程度の電圧が必要である。伊澤准教授らは2種類の有機分子の界面でアップコンバージョン[用語1]という過程を起こす独自の発光原理を用いて、超低電圧で光る青色有機ELの開発に成功した。開発した有機ELは、462 nmの青色発光が1.26 Vから認められ、1.97 Vでディスプレイ程度の発光輝度に到達した。このような超低電圧での青色発光は2014年ノーベル賞を受賞した青色発光ダイオードでも不可能なため、有機・無機材料、双方を含めても世界最小電圧で光る青色発光素子と言える。
三原色の中でディスプレイの消費電力に占める割合が最も大きい青色有機ELの駆動電圧を大幅に低減できる新技術を発明したことは、テレビやスマートフォンなど有機ELを使ったディスプレイ機器の消費電力を削減する上での大きな一歩となる。
本研究は主にJST戦略的創造研究推進事業さきがけ(研究代表者:伊澤誠一郎)の支援により実施され、東京工業大学 科学技術創成研究院 フロンティア材料研究所/大阪大学 接合科学研究所の伊澤誠一郎准教授、東京工業大学 科学技術創成研究院 フロンティア材料研究所の真島豊教授、富山大学の森本勝大准教授、中茂樹教授、静岡大学の藤本圭佑助教、高橋雅樹教授、分子科学研究所の平本昌宏名誉教授らによって行われ、本研究成果は9月20日付の「Nature Communications」に掲載された。

乾電池(1.5 V)1本で青色有機ELを光らせている写真
発光ダイオード(LED)のうち、青色発光は三原色(赤・緑・青)の中で最も高いエネルギーが必要であり、白色光源の元となるなど産業ニーズも高いため、発光素子で一番重要な技術である。無機材料の青色LEDは2014年に赤崎勇博士、天野浩博士、中村修二博士の日本人3名がノーベル物理学賞を受賞した。一方で、有機のLED、つまり有機ELは高コントラストで色彩性が豊かであること、面発光光源で薄膜化やフレキシブル化が容易であるなど、無機LEDとは異なる特徴を有する。そのため、有機EL大画面テレビやスマートフォンディスプレイなどが既に実用化されている。有機ELは既に産業化に成功しているが、一方で青色の有機EL発光素子に関してはいまだに駆動電圧が高いことや、素子の長期安定性が低いなどといった問題を抱えている。例えば、ディスプレイ程度の発光輝度である100 cd/m2で青色を発光させるためには4 V程度もの大きな電圧が必要であり、有機ELの消費電力が大きくなる最大の要因となっている。さらに青色発光は光エネルギーとしては3 eV程度と高いため、低エネルギーの赤、緑の発光と比較して、有機分子の分解による有機EL素子の劣化を引き起こしやすい。今後、有機ELが中型ディスプレイや白色照明などに応用範囲を拡大するためには、青色発光素子の電圧ならびに消費電力の低減、安定性の向上は達成すべき喫緊の技術課題である。
本研究では2種類の有機分子の界面を使った独自の発光原理を使って、1.5 Vの乾電池1本という超低電圧で光る青色有機ELを開発した。その発光メカニズムを図1aに示す。まず電子と正孔(ホール)がデバイスに注入された後で、2種類の電子ドナー/アクセプター分子の層の界面で再結合を起こし、電荷移動(CT)状態という励起状態を形成する。次に、CT状態からエネルギー移動が起こり、ドナー層中で三重項励起状態[用語2a](T1)を生成する。その後、ドナー層中で、2つの三重項励起状態から、三重項―三重項消滅により高エネルギーの一重項励起状態[用語2b](S1)を作り出すアップコンバージョン過程を経て、青色発光を実現する。この発光メカニズムを実現するドナー/アクセプター分子の組み合わせを明らかにするため、青色発光を示すドナー分子として5種類のアントラセン誘導体を、アクセプター分子として14種類のナフタレンジイミド誘導体を探索した(図1b)。

図1. (a)界面を使った独自の発光原理 (b)青色発光体ドナー分子(アントラセン誘導体)、アクセプター分子(ナフタレンジイミド誘導体)の構造。
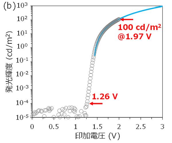
これらのドナー/アクセプター分子から最適な組み合わせを用い有機ELデバイスを作製したところ、図2aのように462 nmに最大発光強度をもつ青色発光(光エネルギーで2.68 eVの青色の発光)が観測された。印加電圧に対する発光輝度の立ち上がりを測定したところ、青色発光が1.26 Vという超低電圧から認められ、スマートフォンディスプレイ程度の発光輝度である100 cd/m2には1.97 Vで到達した(図2b)。このように1.26 Vという超低電圧で青色の発光が認められたことから、図2cのように乾電池1本(1.5 V)をつなげるだけで青色光を得ることに成功した。
今回のような超低電圧での青色発光は無機材料の青色LEDでも不可能であるため、有機、無機材料、双方を含めても世界最小電圧で発光する青色LEDの開発に成功したと言える。
また、今回開発した素子の安定性を検証するため、発光輝度が1000 cd/m2の状態で連続駆動した際の輝度の低下を、従来報告されている青色りん光の有機EL素子と比較した。その結果、従来の青色りん光素子と比較して、90倍程度、素子寿命が長いことがわかった。
青色光は光エネルギーが大きいため、発光する有機分子の分解を引き起こしやすく、安定性が低いという問題が指摘されているが、本発光メカニズムは低エネルギーの三重項励起子から青色発光を導くため、安定性に関しても有利であることが明らかとなった。

図2. 開発した青色有機ELの(a)発光スペクトルと(b)輝度-電圧特性 (c)乾電池(1.5 V)1本で青に光る写真。



図2. 開発した青色有機ELの(a)発光スペクトルと(b)輝度-電圧特性(c)乾電池(1.5 V)1本で青に光る写真。
本研究では、有機ELに関してこれまで問題とされてきた青色発光にかかる電圧を大幅に低減することができた。今後さらに研究を進展させれば、大画面テレビやスマートフォンディスプレイなどの機器の消費電力を大幅に低減できる可能性がある。
今後は本技術をディスプレイ機器へ応用するため、より色純度が高いスペクトル幅が狭線な青色発光を低電圧で実現することを目指す。さらに本メカニズムの発光の効率を向上させることで、従来技術よりも大幅な消費電力の低減を達成できる。また発光色を白色化することで、超低電圧で光る白色有機EL照明の開発にもつながる。
付記
今回の研究成果は、JST 戦略的創造研究推進事業 さきがけ(JPMJPR2101)、科学研究費助成事業(19K04465、20KK0323、21H05411、22K14592)、新エネルギー・産業技術総合開発機構(NEDO)の助成事業(JPNP20004)、分子科学研究奨励森野基金、松籟科学技術振興財団、泉科学技術振興財団の支援によって実施された。
用語説明
[用語1] アップコンバージョン : エネルギーの低い励起状態からエネルギーの高い励起状態を作り出すプロセス。その中の1つである三重項―三重項消滅は、2つの三重項励起状態が衝突することで、1つのエネルギーの高い一重項励起状態を作り出す。
[用語2a] 三重項励起状態 : 外部からの光や電流によってエネルギーを受け取り、分子内の電子が通常よりもエネルギーの高い準位に存在する場合を励起状態と呼ぶ。その電子の自転が生み出す磁気情報をスピンと呼ぶが、対となる2つの電子のスピンが平行で磁気情報が打ち消されない場合を三重項と呼び、逆に反平行で打ち消される場合を一重項と呼ぶ。
[用語2b] 一重項励起状態 : [用語2a]を参照。
論文情報
掲載誌 : |
Nature Communications |
論文タイトル : |
Blue Organic Light-Emitting Diode with a Turn-on Voltage of 1.47 V |
著者 : |
Seiichiro Izawa, Masahiro Morimoto, Keisuke Fujimoto, Koki Banno, Yutaka Majima, Masaki Takahashi, Shigeki Naka, Masahiro Hiramoto |
DOI : |
お問い合わせ先
東京工業大学 科学技術創成研究院 フロンティア材料研究所/大阪大学 接合科学研究所 准教授
科学技術振興機構(JST)さきがけ研究者兼務
伊澤誠一郎
Email izawa.s.ac@m.titech.ac.jp
Tel / Fax 045-924-5341
JST事業に関すること
科学技術振興機構 戦略研究推進部 グリーンイノベーショングループ
安藤裕輔
Email presto@jst.go.jp
Tel 03-3512-3526 / Fax 03-3222-2066
取材申し込み先
東京工業大学 総務部 広報課
Email media@jim.titech.ac.jp
Tel 03-5734-2975 / Fax 03-5734-3661
大阪大学 接合科学研究所 庶務係
Email setugouken-syomu@office.osaka-u.ac.jp
Tel 06-6879-8678 / Fax 06-6879-8689
科学技術振興機構 広報課
Email jstkoho@jst.go.jp
Tel 03-5214-8404 / Fax 03-5214-8432
富山大学 総務部 総務課 広報・基金室
Email kouhou@u-toyama.ac.jp
静岡大学 総務部 広報・基金課
Email koho_all@adb.shizuoka.ac.jp
Tel 054-238-5179 / Fax 054-238-4450
自然科学研究機構 分子科学研究所 研究力強化戦略室 広報担当
Email press@ims.ac.jp
Tel 0564-55-7209 / Fax 0564-55-7374