東工大ニュース
東工大ニュース
公開日:2024.06.07
東京工業大学 科学技術創成研究院 ナノ空間触媒研究ユニットの横井俊之准教授と肖佩佩特任助教らの研究チームは、FERゼオライト[用語1]の骨格から切り離され2次元チャンネルに閉じ込められたアルミニウムが、メタンをメタノールに効率的かつ安定的に変換する触媒であることを発見した。
温室効果ガスの削減と利用は、取り組むべき重要かつ差し迫った問題であり、特にメタンからメタノールへの直接変換は、その経済的・環境的な利点から大きな関心を集めている。メタンのC-H結合強度はアルカンの中で最も高く、酸化のためには貴金属や遷移金属を担持した触媒が用いられてきた。
本研究では、遷移金属を含まない FER型アルミノケイ酸塩(ゼオライト)を用いて、メタンからのメタノール生産を試みた。その結果、ゼオライトのみを触媒とする条件でもメタンの酸化反応が低温で進行することを明らかにした。反応温度や触媒量を調整することで、メタノールの選択性や反応効率が変化することも分かった。メタン酸化においては構造中のアルミニウム元素が活性点となっていることが考えられ、FER型ゼオライトの特徴的なアルミニウム分布により副反応が抑制されることも示唆された。
これは、「メタン転換反応には遷移金属や貴金属が必要不可欠である」というこれまでの常識を覆す画期的な成果であり、今後のメタン転換触媒開発の進展に大きく貢献するものと言える。
本研究成果は、東京工業大学 国際先駆研究機構 World Research Hub (WRH)、Ruhr-University BochumのHermann Gies(ハーマン・ギース)教授、東北大学の久保百司教授、尾澤伸樹特任准教授らによって行われ、4月1日付の「Journal of the American Chemical Society」に掲載された。

図1. 二次元FERゼオライトに閉じ込められたAlによるメタンからメタノールへの酸化反応
メタン(CH4)や亜酸化窒素(N2O)、二酸化炭素(CO2)などの温室効果ガスの削減と利用は、取り組むべき重要かつ差し迫った問題である。また、これらのガス分子を付加価値が高い化学物質に変換する反応は、ますます注目を集めている。特に、メタンからメタノールをはじめとする液体化学物質への直接変換は、輸送と貯蔵が容易になることから、経済的・環境的にも大きな利点となる。
しかしながら、メタンのC-H結合強度はアルカンの中で最も高く、第一結合解離エネルギーは439 kJ·mol−1である。これは、メタンが最も反応性の低いアルカンであることを意味する。過去数十年間の研究の中で、メタンのメタノールへの直接酸化の効率は、触媒に担持した遷移金属(Fe、Cu、Coなど)や貴金属(Pt、Pd、Auなど)といった金属種に大きく依存することが分かっている。金属元素の中でアルミニウム(Al)は地殻中に3番目に多く存在する元素であり、アルミニウム、ケイ素、酸素などで構成されるアルミノケイ酸塩であるゼオライトは、酸性触媒として、また遷移金属や貴金属を担持するための担体として広く利用されている。一方で、アルミニウムそのものがメタンの触媒として使用される例はこれまでほとんど報告されていなかった。
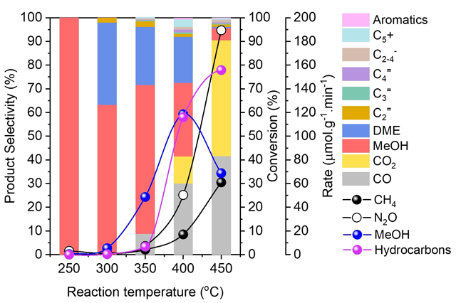
本研究では、触媒として遷移金属を含有しないフェリエライト型(FER)ゼオライト、酸素源としてN2Oを用いて、メタンからのメタノール変換を試みた。アルゴン雰囲気中で500℃で1時間加熱して活性化させたFERゼオライト中にメタンガスとN2Oガスを流通させた時のメタノールへの変換効率を検討した。あわせて、触媒量や反応温度の影響なども調べた。結果として、反応温度250℃、触媒量100 mgの条件において、ほぼ100%の選択性でメタンをメタノールに変換することに成功した(図2)。FERゼオライトの双方向性多孔質構造(8員環および10員環チャネルがケージ内で交差した構造)がメタンからメタノールへの効率的な酸化反応に寄与したと考えられる(図3B)。さらに、FERゼオライト骨格の特殊な位置に存在しているアルミニウム種が、生成したメタノールが炭化水素へと逐次的に反応していくのを抑制することが分かった。また、27Al MAS NMRスペクトル[用語2]によって、フレームワーク内の四配位アルミニウムと骨格外の五配位アルミニウムが、焼成や活性化によってメタン活性サイトへと変化することが確認された。さまざまな酸化剤を用いた反応活性評価、N2O吸着FT-IRスペクトル、27Al MAS NMRスペクトルから、Fe含有ゼオライト触媒と同様の反応経路が提案された(図3A)。


本研究の最終目標は、メタンをメタノール、低級オレフィン、芳香族といった付加価値の高い基礎化学品に直接変換する反応プロセスを確立することである。本研究によって、アルミノケイ酸塩ゼオライトが遷移金属を導入しなくともメタン酸化反応触媒として機能することが明らかとなった。これは「安定なメタン分子のC-H結合の活性化には遷移金属や貴金属が必要不可欠」というこれまでの常識を覆す画期的な成果であり、今後のメタン転換触媒開発の発展に大きく貢献するものである。
ゼオライト触媒を用いたメタン転換において、金属の存在が必須ではないことが明らかとなった。軽元素(Si、Al、O、Hなど)から構成されるゼオライトの機能の根源の解明や新たな機能の開拓に期待が持たれる。これまであまり研究対象とされてこなかったゼオライトの用途開拓も興味深い。今後は、遷移金属の存在が必須とされているメタン以外のC1分子の活性化の検討も進めていきたい。
付記
本研究は、日本学術振興会 科学研究費助成事業 基盤研究(B)(No.21H01714)および日本学術振興会 科学研究費助成事業 基盤研究(S)(No.21H05011)の助成を受けた。
論文情報
掲載誌 : |
Journal of the American Chemical Society (J. Am. Chem. Soc.) |
論文タイトル : |
Direct Oxidation of Methane to Methanol over Transition-Metal-Free Ferrierite Zeolite Catalysts |
著者 : |
Peipei Xiao, Yong Wang, Yao Lu, Kengo Nakamura, Nobuki Ozawa, Momoji Kubo, Hermann Gies, and Toshiyuki Yokoi |
DOI : |
お問い合わせ先
東京工業大学 科学技術創成研究院 ナノ空間触媒研究ユニット
准教授 横井俊之
Email yokoi@cat.res.titech.ac.jp
Tel 045-924-5430 / Fax 045-924-5431
取材申し込み先
東京工業大学 総務部 広報課
Email media@jim.titech.ac.jp
Tel 03-5734-2975 / Fax 03-5734-3661