Outreach
Tokyo Institute of Technology merged with Tokyo Medical and Dental University to form Institute of Science Tokyo (Science Tokyo) on October 1, 2024.
Over time, content on this site will be migrated to the Science Tokyo Web. Any information published on this site will be valid in relation to Science Tokyo.

Outreach
DLab dialog for the future: Impacts of a 100-year lifespan


How will the mind and the body of individuals, and society be changed once DLab's future scenario No. 19 "Design, or remove, your own aging process" is realized? Five researchers from different fields consider a 100-year lifespan through the themes of family, human body, religion, and care.
DLab dialog for the future
Laboratory for Design of Social Innovation in Global Networks (DLab) has created 24 future scenarios that depict the future we aspire. In the video series "DLab dialog for the future," researchers working at the front lines have selected one of the 24 future scenarios to freely discuss how future advancements in science and technology can contribute to the realization of the scenario.





Yanase:DLab's future scenario No. 19 depicts a future that new technology allows us to select to design or remove our own aging process. In the era of "the 100-year life," we will find many changes in family structures, personal values, and the balance between the mind and the body. I would like to begin with the topic on family structures from Associate Professor Jibu, who conducts research in fields of business management, human resources management, and gender.
Jibu:I would like to start by examining how people perceives a "family." Searching images with keywords "family" and "photo" on the internet, most images share a common feature. These search results show that many people have a traditional view of a family as consisting of a married man and woman who have children living together.
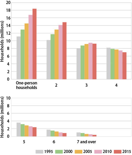
However, statistics show that the number of these traditional families is declining. Looking at the number of households of Japan from 1995 to 2015 Population Census, the number of households with three or more people has decreased, while the number of households with two or fewer people has increased. In particular, the number of households with one person is increasing rapidly. We can say that a gap is already arising between the reality of the family and the conventional image of a family-a married man and woman and their children.


One-person households: 18 millions in 2015.
The number of households with 2 persons or less shows an upward trend while the number of household with 3 persons or over shows a downward trend since 1995.
Trends in the number of private households of Japan by size of household from 1995 to 2015
Created by editing the POPULATION AND HOUSEHOLDS OF JAPAN 2015
(Statistics Bureau, Ministry of Internal Affairs and Communications)

Jibu:Recently, I have come to understand that there are already various family structures in society, but we simply have been unable to recognize them as "family."
For example, the book entitled Kodomo wo sodate rareru nante omowana katta LGBTQ to 'denntouteki na kazoku' no korekara [We Never Imagined That We Could Raise a Child: The Future of LBGTQ and the Traditional Family] (edited by Daisuke Furuta; written by Fumino Sugiyama, Soshi Matsuoka, and Tomoko Yamashita) introduces a couple consisting of a woman and a transgender man who was born with the body of a woman but views himself as a man. The couple was provided with a sperm donation from a male friend and now the three of them raise the child together. The book also introduces various family structures and describes how those structures also exist in Japan.
In the future, as our lifespan increases, we will spend our life more in single-person and two-person households, as well as in traditional families with parents and children. Moreover, the family structure is expected to become increasingly diversified. Amidst such trends, I imagine that society will accept a broader range of family structures. I think that this would be a good thing.
Yanase:Professor Jibu has shown that families become diversified as the number of traditional families decreases and the number of families that do not fit into the traditional family structure increases. Professor Ito, how does it make you feel?
Ito:I think it's wonderful to have more possibilities. On the other hand, I feel that it is still arduous decision to consciously choose options other than those that are taken for granted as "normal." When it comes to marriage, there will be cases in which the partners enter into a marriage contract with a specified deadline from the very beginning, and use a ledger to manage their money. In such cases, I think that marriage, which was originally a matter of feelings and having a special place to belong to, will be contracted and become a somewhat difficult undertaking.
Yanase:When our life expectancy is extended and we spend a longer time with our spouse, our way of thinking about marriage will certainly change.
Jibu:In fact, an increasing number of people are rationally assessing the cost of getting married, or calmly considering if it's really in their best interest to marry a certain person. The more rationally that people think, the more people who decided that it's better not to get married. It seems to be one reason the number of people decide against marriage is increasing.
Yanase:I see. Professor Yumiyama, could you comment on this matter?
Yumiyama:I am particularly concerned that diversification of the family structure may result in dismantling of the family. In the 1970s counterculture, many attempts were made to dismantle the family. For example, people attempted to raise children in a community. Unfortunately, none of those attempts were successful. So, I wonder how different family structures will work today.
Yanase:Moving on, I would like to talk with Professor Kume, who is working on regenerative medicine with induced pluripotent stem (iPS) cells. Please share your thoughts on the realization of a human body with a lifespan of 100 years. Why does aging of the human body occur?
Kume:The human body is supposed to be composed of more than 30 trillion cells. Stem cells in each tissue support the maintenance and regeneration of the body through cell division. Stem cells are special cells that have both the ability to replicate themselves and differentiate into various cells. They exist in various tissues of the human body, such as skin, hair, and other organs. Stem cells provide support so that the tissues can continue to function while being regenerated.
The ability to regenerate differs for each type of tissue. Tissues such as skin, blood, hair, and intestinal cells have a strong regenerative ability, while other types of tissues do not. Some tissues such as the pancreas and kidney have almost no ability to regenerate.
The aging of the human body can be explained by the process of cell division. The process of continual cell division develops damages by stress, inflammation, and reactive oxygen species. The errors or damages have been accumulated in the cells with aging. Furthermore, if an error occurs during division, this might direct the cells to progress as cancer.
Tissue stem cells that maintain our body homeostasis
Human body with a lifespan of 100 years ~aging and regeneration~
Kume:Meanwhile, innovative treatments are currently being developed to combat illness and aging. For instance, in the field of regenerative medicine that regenerates cells and helps tissue repair, the advent of iPS cells has contributed to remarkable advancements in cell transplantation and organ regeneration.
iPS cells are pluripotent stem cells artificially created by reprogramming somatic cells. iPS cells can differentiate and proliferate into various cells that make up the body. For example, by utilizing the properties of iPS cells, it is possible to direct human iPS cells to create hematopoietic stem cells and then use the created cells to treat leukemia.
Furthermore, by transforming human iPS cells derived from patients into disease-related cells and investigating the process of abnormalities, it is possible to clarify the mechanism of intractable diseases. This is also useful for the development of therapeutic drugs. Recently, it was reported that the progression of ALS (Amyotrophic Lateral Sclerosis), which is an intractable disease that gradually impairs physical freedom, had possibly been stopped for the first time in the world by a therapeutic drug candidate discovered using iPS cells.
Similarly, clarifying in detail the mechanisms that cause the human body to age, it may be possible to create a drug that suppresses aging. Then, we will move closer to the advent of a society in which people have a lifespan of 100 years.
Issues to consider:
Soaring medical costs
Regenerative medicine
Stem cells can be used to generate healthy cells to displace diseased cells.
Understanding of how disease occur and develop new drugs
Using stem cell-derived from patients, ongoing studies improved our understanding of the disease.
Infective disease
Drug/vaccine development.
Understanding the mechanism of aging and develop drug to slow down aging?
Issues to consider:Soaring medical costs
Human body with a lifespan of 100 years ~The development of novel Therapy~
Yanase:At DLab, we examine "technology" and "social systems" for supporting the ideal future. I think people face new challenges as a life expectancy of 100 years is becoming a reality.

Kume:That's right. First, there is the problem of increased medical costs and expenses. Should society establish universal healthcare? Or should people be required to pay themselves after exceeding a certain range? We must also consider how to maintain the quality of life when science makes it possible to restore a part of physical functions.
Jibu:I am sure that many people want to live a healthy and vibrant life for 100 years. How can we make that possible? Also, is there a way to maintain quality of life despite the decline of some physical functions?
Kume:As is often said, exercise and a healthy diet are important to maintain a healthy body. Furthermore, even if some physical functions have declined, I feel that the progress of science is now making it possible to engage in activities while making the best use of existing functions through technology.
Yanase:Longevity will require mental care greatly. Professor Yumiyama leads a study on religiosity and religious awareness in modern times. Would you please discuss what will happen to religion when people live for 100 years?

Yumiyama:Ever since the days of the Buddha, religion has provided comfort for the unrelenting suffering of life. There is a Buddhism phrase that the four inevitables in human life are "birth, aging, sickness, and death." As expressed by this phrase, people suffered when things didn't go as planned in life.
From around 500 BC, by becoming aware of these realities of life, religions and philosophies were born in India, China, Greece and other parts of the world that have greatly influenced later times. The philosopher Jaspers named this major turning point the "Axial Age."
Looking at modern society, it seems that people are suffering just as much as they were thousands of years ago. At some point in time, people may even be able to achieve immortality. However, even if people can choose whether or not to age, the suffering associated with aging will continue to exist. For example, imagine if one partner in a married couple chooses to grow old but the other chooses not to age. "Why won't you enjoy youth together with me?" "Why won't you grow old together with me?"-Such conflicts would arise.
Yumiyama:In Buddhism, in addition to "birth, aging, sickness, and death," saying farewell to loved ones and encountering hateful people are mentioned as forms of human suffering. It is often said that happiness is subjective. However, since most of the joy and suffering in life is only possible due to the existence of other people, it can be said that happiness in life is determined by relationships.
A geriatric facility in a temple in Mashiko-town, Tochigi
(Photo by Tatsuya Yumiyama)
Here is a photograph of a facility for the elderly in Mashiko Town, Tochigi prefecture. This facility is in the temple grounds and also has a hospice. At the large entrance to the facility, a statue of Buddha quietly watches over residents. The residents often say "I don't want to bother my family." And in a half-joking tone, they say to each other "Let's go to the Land of Happiness together."
An attitude survey of elderly society conducted by the Ministry of Health, Labour and Welfare found that approximately 62% of elderly individuals want a form of long-term care that is independent from their family.
However, is this form of later life truly decided by one's own will? Perhaps due to housing conditions, family work, and lifestyle differences with their children's generation, elderly people are forced to make their own decision. Even if we gain a high degree of control over the process of physical aging and death, the form of later life may not be decided by the individual nor by others; instead, it may ultimately be determined due to various events.
In many cases, these "various events" are troublesome, and there is room for prayer and wishes in the form of religion. Even if it becomes possible to design, or remove, your own aging process in 2070, people may still be praying to the gods and Buddha.
Ito:I am very sympathized with Professor Yumiyama's comment that elderly people actually "being forced to make decisions." I also feel that although the role of religion in crisis situations is often discussed, religion can fulfill a major role in the stage before a crisis.
After an event such as a major illness or disaster, there tend to be few available options. Therefore, the way in which we cultivate relationships with other people prior to a crisis is very important. Religion is involved in the formation of such relationships. Moreover, I believe that religion has a vital role in everyday life.
Yumiyama:It has been a long time since Japan has been described as a society in which individuals are isolated and have weak interpersonal links. Nowadays, there is a movement of temples and shrines, which are the core of traditional religions, becoming the center of the community and trying to connect people. This will make it easier for local people to participate than if a secular group were to take the lead.
Yanase:Finally, I would like Professor Ito, director of the Future of Humanity Research Center to share her view regarding "care" in the 100-year lifespan. Professor Ito has conducted research in a wide range of themes such as the human body and aesthetics, and is currently working on a research project on altruism.

Ito:If a person lives for 100 years, regardless of how long the healthy life expectancy is extended, the period of receiving nursing care and long-term care from another person will be longer and the number of people receiving nursing care and long-term care will increase. I hope that in the midst of such changes, society as a whole will be able to recognize that the issue of "care" is not special; rather, it is a common issue for all of us. Therefore, in addition to care and the labor of care in a narrow sense, I would also like to discuss general labor.
Currently, salaries for jobs such as nursing care and long-term care are lower than average. Furthermore, it is said that these jobs have low social status. What is the reason for this trend on a global scale? I believe that the cause is how human labor is judged by numbers, or put more simply, by productivity. Therefore, it is difficult to evaluate labor such as care, which is hard to clearly quantify.
The concept of "essential workers" became known as a result of COVID-19. We are now more aware that how society is highly dependent on people who are working hard in indispensable jobs to maintain daily life. I feel that it is important to reconsider the meaning of care and care labor.
Ito:The most important parts of all jobs, including nursing care and long-term care are unquantifiable. For example, in the case of university faculty members, a strong emphasis is placed on results such as the number of papers written and the number of citations. However, another important part of the job is "care" in the form of spending time with students who suddenly visit the laboratory. Indeed, I find time spent providing care to be very fulfilling. It really bothers me that the pursuit of "productivity" limits the amount of time that I can spend with students.
The same thing is happening in a variety of different jobs. In reality, "care" should be at the center of labor. However, the parts of jobs related to care are not evaluated, and work becomes nothing more than a way to make a living. People are unable to find value in their jobs and working becomes a burden.
Recently, a book entitled Bullshit Jobs: A Theory (written by David Graeber) has received a great attention, which explained a current situation that wages for jobs essential to society are low. As such problems spread around the world, I hope that the arrival of the 100-year life will be an opportunity to reconsider how "care is at the core of every job."
"Care" consists of dealing with the situation and needs of the person in front of you; for example, worries, illness, or needing to use the restroom. Basically, care cannot be controlled or planned. Trying to plan care in advance for your own convenience will place a burden on the person receiving care.
Today's society emphasizes planning, controlling things, and increasing productivity, but there are other important concepts as well. The "altruism" which I am currently studying also exists outside of planning and control. I believe that such an attitude will change the meaning of worker and make things more comfortable for those involved in care.

Yanase:In an era where people live for 100 years, there will most likely be an increase not only in professional care but also mutual care within the family.
Jibu:Currently, the proportion of women in charge of "unpaid care work" such as nursing care, childcare, and housework in the home is overwhelmingly high. Data shows that the ratio of women is twice as high as men in most developed countries. In Japan, the ratio of women in charge of free care work is five times that of men.
On the other hand, in the world of business and research, it is important to achieve results through planning and control, and there is an idea that providing "care" is a hindrance. The attitude of people will change drastically once everyone has become involved in some form of care such as nursing care.
Ito:Gender equality is not just about equalizing the social status of men and women. It also consists of treating care work in the home equally to the job labor, since it has been treated as secondary behind the job labor and has not been properly evaluated. I think that the concept "care is at the core of every job" is an idea that was created based on research in gender studies.
Yanase:Professor Kume, how do you view this matter?
Kume:In fact, in the medical field, there are situations in which care is not properly evaluated. For example, when a doctor listens to a patient and provides an explanation, the medical fee will not change regardless of time for consultation of 5 minutes or 30 minutes. It is necessary to review whether labor, including care, is being evaluated correctly.

Yumiyama:As we enter an era in which people live for 100 years, it is necessary to thoroughly consider the concept of care. I am sure that this is a difficult matter for everyone. Under such circumstances, I felt hopeful when I heard Professor Ito state that "I find time spent providing care to be very fulfilling." Being involved in care also means accumulating experiences that will change values.
Ito:Caring for people can be a daunting task, but it also provides us with a completely different perspective. Indeed, with such experiences, the phrase "the 100-year life" will sound different.
Yanase:Today's panel featured multifaceted discussion with four professors. In conjunction with scientific advancements, we must persevere in determining how to live when we are blessed with a lifespan of 100 to 150 years. At Tokyo Institute of Technology, we will continue to discuss matters from various perspectives and strive to give specific prescriptions for the future. Thank you very much.
DLab Future Techscapers
A video series including "DLab dialog for the future." Researchers discuss their research based on future scenarios. "Techscapers" is a word combined with "Technology" and "Landscape." This series features people with a broad view of technology and society.
Toward carbon-neutral society
through emerging technology
(Published: December 2021)
Diversity and Inclusion
Tokyo Tech commits to realizing cultural development and contribution to human welfare by creating an intellectually vibrant environment.
The Special Topics component of the Tokyo Tech Website shines a spotlight on recent developments in research and education, achievements of its community members, and special events and news from the Institute.
Past features can be viewed in the Special Topics Gallery.
Published: February 2022