社会連携
社会連携


DLabの未来シナリオ19番「人々が、『老いる・老いない』を選択できるようになる」が実現し、「人生100年時代」が本当に訪れた時、人の心や身体、また社会にはどのような変化が起こるのか。異なる専門を持つ5名の研究者が、家族、身体、宗教、ケアをテーマにこれからの社会を考える。
未来放談
DLabではこれまでの活動を通して、「ありたい未来」の姿を具体的に描いた24の「未来シナリオ」を作成しました。動画シリーズ企画「未来放談」では、毎回、この「未来シナリオ」から1点を選び、「シナリオの実現に向け、科学技術をどう発展させていくか」「シナリオが実現したことで、社会はどう変化していくか」などを、本学の第一線の研究者が自由に語り合っていきます。




柳瀬:DLabの「未来シナリオ」19番では、医療技術などの進化を経て、「身体の老い方」の選択・設計が可能になる未来を描いています。そうして「100年を生きる」ことが当たり前になれば、家族のあり方、個人の価値観、身体と心のバランスなども今とは違うものになっていくでしょう。最初に「人生100年時代の家族」について、経営、人材マネジメント、ジェンダーなどの研究に取り組まれている治部先生に聞いてみたいと思います。
治部:まずは「家族」というものを、多くの人がどう捉えているかについて見てみましょう。試しに「家族+写真」というキーワードでインターネットの画像検索をしてみると、さまざまな写真が表示されます。しかしそこにひとつ、共通する特徴がある。それが「大体同年代の男性、女性らしき人と、子供や赤ちゃんが写っている」ということです。
男性と女性が結婚をして、子供をつくり、共に生活していく。そうした伝統的な家族の姿が、多くの人が思い浮かべる「家族」像であるということが、この結果に表れています。
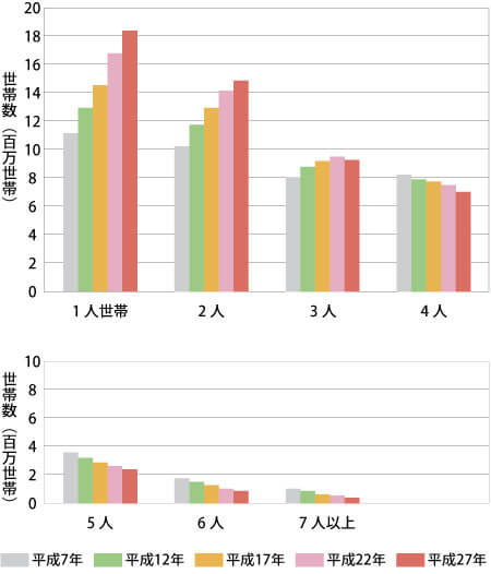
しかし、こうした伝統的な家族の数は、実は減っているという統計があります。1995年から2015年の国勢調査における世帯数の変化を見てみると、人数が合計3人以上の世帯が減少する一方で、2人以下の世帯は増え、特に1人世帯は急激に多くなっている。「結婚している男女とその子供」という一般的な家族のイメージと、現実の家族のあり方との間には、すでにギャップが生まれつつあることが分かります。


世帯人員別一般世帯数の推移—全国(平成7年~27年)
出典:平成27年国勢調査「ライフステージで見る日本の人口・世帯」(総務省統計局)を加工して作成

治部:また私は最近、社会にはすでにいろいろな形の家族が存在していて、私たちはその姿を「家族」だと認識できていなかっただけなのではないかと感じるようになりました。
例えば『子どもを育てられるなんて思わなかった-LGBTQと「伝統的な家族」のこれから-』(古田大輔 編/杉山文野、松岡宗嗣、山下知子 著)という本では、女性の身体を持って生まれ、自身を男性と認識しているトランスジェンダー男性と女性のカップルが、友人の男性から精子提供を受けて、3人で子育てをしている例が登場します。この本では、ほかにも本当にさまざまな「家族」の形が紹介されており、そうした例が日本にも存在することも記されていました。
今後、寿命が伸びるなかでは、両親と子供という伝統的な家庭の中だけでなく、1人世帯や2人世帯で過ごす期間も増えるはずです。また、家族のあり方もいっそう多様化していくことが予想されます。そこで100年を生きる中で、多くの方がさまざまな「家族」の形を経験することになるでしょう。そうした流れのなかで、より幅広い家族のあり方が受容されるようになると私は想像していますし、そうなればいいと考えています。
柳瀬:伝統的な家族の数が減り、伝統的な枠に収まらない家族が増えて、家族の多様化が進むわけですね。これを聞いて、伊藤先生はどうお感じになりましたか。
伊藤:可能性が広がるというのは、素晴らしいことだと思います。ただ一方で、今まで「当たり前」とされてきた以外の選択肢を自覚的に選んでいくのは、骨の折れることでもあるような気がします。結婚に関して言えば、最初から期限を区切って結婚契約を結び、金銭も帳簿で管理するといったケースも出てくるでしょう。そうなると、本来は心の問題や居場所の問題であった結婚が契約化して、少ししんどいものになりそうだなとも思います。
柳瀬:寿命が延び、夫婦で過ごす期間も長くなると思うと、確かに結婚への考え方も変わりますよね。
治部:実際、結婚することのコストや「本当にこの人と結婚していいか」ということを冷静に意識する人は増えています。そして、合理的になればなるほど、結婚しないほうがいいと思う人も多くなっている。それが未婚が増えている一因のようにも思えます。
柳瀬:なるほど。弓山先生はいかがでしょう。
弓山:私が特に気になるのは、家族の多様化が進んだ結果、それが「家族の解体」にまで広がるのかという点です。1970年代のカウンターカルチャーの中では、子供を共同体で育てるなど、家族の解体に向けた多くの試みが行われましたが、いずれも成功には至りませんでした。今ならそれがどうなるのか、知りたいと思います。
柳瀬:さて、今度は「人生100年時代の身体」の実現に向けた考え方について、iPS細胞などの研究を進められている粂先生にお話しいただきます。そもそも、人体の老化はなぜ起こるのでしょうか。
粂:近年の説では、私たち人間の身体は30兆個を超える細胞からできていると言われています。そして身体の組織を維持・再生するため、それぞれの細胞は分裂を続け、1日で約5,000億個の細胞が入れ替わっている。
こうした細胞分裂による身体の維持・再生を支えているのが、各組織にある幹細胞です。幹細胞は自己を複製する能力とさまざまな細胞に分化する能力の両方を備えた特別な細胞で、皮膚、髪の毛、臓器など人体のさまざまな組織に存在し、その組織を修復しながら、組織が機能しつづけられるよう支えてくれています。
各組織の修復力はそれぞれ異なっていて、皮膚、血液、髪の毛、腸細胞といった再生力が強い組織もあれば、そうではない組織もあり、なかには膵臓や腎臓など、再生がほとんど行われない組織も存在する。
人の身体の老化は、この「細胞の分裂」によって説明できます。細胞が分裂を続けていくと、その過程でストレス、炎症、活性酸素といったダメージの原因が細胞に蓄積され、健康な状態を取り戻せなくなってしまう。これが老化の原因です。また、分裂の際にエラーが起これば、ガンのような物質が発生する。そうした結果、身体に不調が出て、時に生命の危機を迎えるといったことになるわけです。
からだの修復を支える幹細胞
「人生100年時代の身体」~人体の老化と再生の原理~
粂:一方で現在、病気や老化に対抗するため、革新的な治療方法の開発が進められています。例えば細胞を再生させ、組織の修復を助ける再生医療の分野では、iPS細胞(induced Pluripotent Stem cells/人工多能性幹細胞)の登場により、細胞移植や臓器再生の研究が大きく進みました。
iPS細胞は、細胞を培養して人工的に創られた多能性の幹細胞で、身体を構成するさまざまな細胞に分化・増殖することができます。この性質を活用すれば、例えばヒトiPS細胞を使って造血幹細胞をつくり出し、白血病の治療に用いるといったことも可能です。
また、ヒトiPS細胞を病気に関係する細胞に変化させ、異常が生じる過程を調査して難病のメカニズムを解明すれば、治療薬の開発にも役立ちます。最近では、次第に身体の自由が利かなくなる難病であるALS(筋萎縮性側索硬化症)の進行が、iPS細胞を活用して発見した治療薬候補により、世界で初めて止められた可能性があるというニュースが報道されました。
これと同じ方法で、身体が老化する仕組みを詳しく解明できれば、老化を抑える働きを持った薬をつくり出せるようになるかもしれない。そうなると、人生100年の長寿社会の到来も視野に入ってくると思います。
問題点
再生医療により私たちの細胞を再生・修復させ、修復を助ける
ヒトiPS細胞の発見により、細胞移植、臓器再生研究が進み、再生医療により臓器が甦る(例:白血病の治療)。
難病の治療薬の開発
例:「ALS(筋萎縮性側索硬化症)の進行を止める薬」など、治療薬の開発で、難病の治療が可能になる。
感染症:ワクチン・治療薬の開発
老化の機序解明:老化を止めることも可能になってくるかも?
人生100年の長寿社会の到来?
問題点
「人生100年時代の身体」~革新的な治療方法の開発~
栁瀬:DLabでは、ありたい未来の姿を考える時に、それを支える「技術」や「社会制度」なども踏まえて検討を進めていきます。私たちが100年生きられる身体を手に入れたときに、新たに考えなければならない問題も発生するでしょうね。

粂:そうですね。第一に、医療にかかるお金が増え、医療費が高騰するという問題があります。皆保険を適用するか、一定の範囲を超えたら自費負担とするか。また身体の機能のすべてではなく、まずは一部を科学の力で修復できるとなったときに、生活の質(QOL)をどう維持していくかという視点も重要になるかと思います。
治部:100年の人生をずっと健康で、元気に暮らしていきたいと考える人は多いと思います。そのために私達は、何ができるでしょうか。また、それでも一部の身体機能が落ちてしまったとき、生活の質を保っていく方法はあるのでしょうか。
粂:健康な身体を維持するには、よくある話になってしまいますが、やはり運動と健康的な食生活を心がけることが大切だと思います。その上で、一部の身体機能が落ちてしまった場合は、科学技術を利用し、現存する機能を生かしながら活動していくということが、現在、科学の進歩によって可能になりつつあると感じています。
柳瀬:人生が100年続くとなると、心の問題も非常に大きくなってくると思います。すると宗教の存在もよりクローズアップされてくるでしょう。弓山先生は現代における宗教性や宗教意識などを研究されています。「人生100年時代の宗教」はどうなっていくか、少し教えていただけますか。

弓山:宗教は遠くお釈迦様の時代から、ままならない人生の苦しみに寄り添ってきました。「生老病死」という言葉で示された、人生の思い通りにならない事柄が、人々の苦しみとなっていたわけです。
紀元前500年頃から、こうした人生の現実に気づくことによって、インドの仏教に限らず中国、ギリシャなど世界各地で後世に大きな影響を及ぼす宗教や哲学が生まれています。この大きな転換期を、哲学者のヤスパースは「軸の時代(枢軸時代)」と名付けました。
翻って現代に目をやると、何千年前と変わらぬ苦しみを抱えているようです。やがては不老不死さえ実現される時が来るのかもしれませんが、人々が「老いる・老いない」を選択できるようになっても「老い」にまつわる苦しみは存在しつづけるでしょう。例えば夫婦の一方が「老いる」、一方が「老いない」を選択すれば、「なぜ自分と一緒に、若さを謳歌しないのか」「どうして共に老いてくれないのか」などと悩むことになるからです。
弓山:仏教では「生老病死」以外にも、人間の苦しみとして愛する者との別れや憎い者との出会いを挙げています。よく「幸福は主観的なものだ」と言いますが、人生の喜びや苦しみの大半は他者なくしてはありえませんから、人生の幸福は人との関わりの中で決まっていくとも言えるでしょう。
栃木県益子町の寺院内の高齢者施設。ホスピスも完備。
(撮影・弓山達也)
ここに、栃木県益子町に建つ高齢者施設の写真があります。この施設はお寺の境内にあり、ホスピスも併設されていて、施設の大きなエントランスでは仏様が入居者の方を静かに見守っています。そして入居者の方は口々に、「家族には迷惑をかけたくない」と言い、半ば冗談めいた口調で「一緒にお浄土に行こうよね」などと語り合っています。
厚生労働省が行った高齢社会に関する意識調査では、およそ62%が家族に依存しない介護の形を望んでいるという結果も出ました。
こうした晩年のあり方は、本当に自分の意思で決定したことなのでしょうか。住宅事情、家族の仕事、子世代とのライフスタイルの違いなどによって、否応なく自己決定せざるを得なくなったものではないでしょうか。身体的な老いと死のプロセスを高度にコントロールできるようになったとしても、そのあり方は自分で決めるものではなく、他人に決められるものでもなく、結局いろいろあって「決まっていく」ものなのかもしれません。
ただ多くの場合、この「いろいろ」が厄介で、そこに祈りや願い、つまり宗教が介在する余地が出てくる。2070年に「老いる・老いない」を選択できるようになっても、人々は神仏に手を合わせているのかもしれません。
伊藤:「自己決定させられている」というお話は身に染みました。また、危機的な状況における宗教の役割がしばしば話題に上りますが、むしろその前の段階で、宗教は大きな役割を果たせるのではないかとも感じています。
大病や災害などが起こってしまった後では、取り得る選択肢が狭くなりがちです。そのため危機に陥る前に他の人との関係をどう上手く耕しておくかが非常に重要になり、そこに宗教が関わってくる。日常の中にこそ、宗教の役割があるのではないかというようにも思います。
弓山:日本は無縁社会といわれて久しいわけですが、現在、伝統宗教であるお寺やお宮がコミュニティの中心になって、縁をつないでいこうという動きが存在します。そうすると地域の人も世俗の団体が音頭を取るより参加しやすくなるという面がありますね。
柳瀬:最後は「人生100年時代のケア」について、未来の人類研究センターのセンター長を務める伊藤先生にお話を聞きたいと思います。伊藤先生は身体、美学など幅広いテーマの研究に取り組まれ、現在は「利他」についての研究プロジェクトを進めています。

伊藤:人が100年生きるようになれば、どんなに健康寿命が延びたとしても、人から介助や介護を受ける期間も、介助や介護を受ける人の数も増えていくと思います。私自身は、そうした変化の中で、社会全体が「ケア」の問題を特別ではない、一般的なものとして意識できるようになればいいと願っていますので、本日はケアや狭義のケアの労働と同時に、一般の労働についてもお話したいと思います。
現在、介助や介護といった仕事の給与は平均よりも少なく、社会的な地位も低いと言われています。これは世界的な傾向ですが、理由はどこにあるのでしょうか。私は、人間の労働が「数字」によって、簡単に言えば「生産性」によって判断されてしまっているからだと思います。そこで明確な数値化が難しいケアのような労働は、評価されにくくなってしまう。
しかしコロナ禍をきっかけにエッセンシャルワーカーという概念が知られるようになり、ケアをはじめ日常生活の維持に欠かせない仕事に就いて身体を張って働いている方々に、社会が強く依存しているという認識も広がりました。このタイミングで、改めて「ケア」「ケアの労働」の意味を考えることが大切だと感じています。
伊藤:介助・介護の仕事に限らず、あらゆる仕事の本当に大切な部分は、数値化できないところにあるのではないかと私は考えています。大学教員の仕事でも、論文の執筆数や引用数といった成果が強く問われる一方で、突然、研究室を訪れた学生の相談に時間をかけるという「ケア」の部分も大切な仕事であり、私にとっても充実した時間になっている。「生産性」の名のもとにその時間を取りにくくなっていることを非常に歯がゆく思っています。
おそらくこれと同じことが、さまざまな仕事で起きています。本当は労働の中心に「ケア」があるはずなのにその部分が評価されず、仕事が単に生活を成り立たせるためのものになり、自分の仕事に価値を見いだせず、ただしんどいものになってしまっている。
そうした現象や、社会に必要な仕事なのに賃金が低いといった状況を説明した『ブルシット・ジョブ-クソどうでもいい仕事の理論-』(デヴィッド・グレーバー 著/酒井 隆史、芳賀 達彦、森田 和樹 翻訳)という書籍が、最近、大きな話題を呼びました。こうした問題が世界的に広がる中、人生100年時代の到来が「すべての労働はケアである」ことを考え直すきっかけになるのではないかと期待しています。
「ケア」とは目の前にいる相手の、悩みがある、体調が悪い、トイレに行きたいといった状況やニーズに対応していくものですから、基本的に制御も計画もできません。それをこちらの都合で事前に計画してしまうと、ケアを受ける側はしんどくなってしまう。
今の社会は、計画を立て、物事を制御し、生産性を上げていくことが重視される社会ですが、それ以外の部分にも大切なものがある。私が今、研究している「利他」も計画や制御の外部に存在するもので、こうした姿勢が働く人の意味を変え、またケアを関わる人にとって心地よいものに変えていくのではないかと考えています。

柳瀬:人生100年時代には、職業としてのケアだけでなく、家族の中でも互いにケアする場面が増えてきそうですね。
治部:現在、家庭の中の介護、育児、家事といった「無償ケア労働」を受け持つ割合は圧倒的に女性が高く、ほとんどの先進国で女性が男性の倍、日本ではおよそ5倍の無償ケア労働を担っているというデータがあります。
一方でビジネスや研究の世界では、計画や制御によりしっかり成果を出すことが重要で、「ケア」はその足を引っ張るものだという発想がある。人生100年時代には、誰もが介護などのケアを一度担ってみると、社会の考え方も大きく変わるのではないかなと感じました。
伊藤:男女平等には、単に男性と女性の社会的な地位を同等にするだけでなく、仕事としての労働の背後に押しやられて評価されてこなかった家庭内などのケア労働を対等に扱うことも含まれると思います。「すべての労働はケアである」という先ほどの考え方も、そうしたジェンダー研究の先行思想がつくってくれたものだと思います。
柳瀬:粂先生はいかがですか。
粂:実は医療の現場でも同様に、ケアが評価されないという状況が存在します。例えば医師が患者さんの話を聞き、説明をする際、5分で済ませても30分時間をかけても診療報酬は変わりません。そうした意味では、ケアも含めた労働の評価が正しく行われているかを見直す必要があるのかなと思いますね。

弓山:人生100年時代を迎え、ケアについてしっかり考えることが必要になり、しんどいなという気持ちは誰にもあると思います。そんな中で、伊藤先生の「ケアは自分にとっても充実した時間」というお話を聞いて、希望がわいてきました。ケアに関わるということは、価値観が変わるような経験を積むということでもある。今後はそうした機会が増えると、楽しみにしていくことができればいいなと考えています。
伊藤:人をケアするのは大変なことですが、今までとはまったく違った視点も与えてくれます。そうした経験をしたとき、「人生100年時代」という言葉が、また違った響きをもって聞こえてきそうだなと感じます。
柳瀬:本日は4人の先生方に、重層的なお話をお伺いました。科学の発展に伴い、100年、150年の寿命を享受するようになったときどう生きるかの答えを、私たちは足掻きながら見つけていく必要があります。東京工業大学では、引き続き多様な視点から語り合いながら、具体的な処方箋を出せるように努力していきます。本日はありがとうございました。
DLab Future Techscapers (ディーラボ フューチャー テックスケーパーズ)
未来放談を含めた、研究者が未来シナリオに基づきながら研究を語る動画シリーズ。 「Techscapers」はテクノロジーと社会のつながりを広く見渡すとしてTechnologyとLandscapeを掛け合わせ、さらに人にスポットライトを当てた造語。
カーボンニュートラル社会を、
最先端技術でどう実現するか
(2021年12月掲載)
スペシャルトピックスでは本学の教育研究の取組や人物、ニュース、イベントなど旬な話題を定期的な読み物としてピックアップしています。SPECIAL TOPICS GALLERY から過去のすべての記事をご覧いただけます。
2022年2月掲載